Self-reliant education and training style formation and manifestations: case study of boxing groups at Civil Engineering University
Фотографии:
ˑ:
PhD, Associate Professor K.P. Bakeshin
St. Petersburg State University of Architecture and Civil Engineering, St. Petersburg
Keywords: building, self-reliance, Civil Engineering university students, education and training process, boxing.
Background. Presently the key academic education curricula are designed to encourage the academic learning process with a special emphasis on the self-reliant learning component. The academic self-reliant learning process is considered as the systemic initiatives to help develop self-dependence as one of the valuable personality qualities, with an important role given to the academic physical education and sports in this process. Modern academic physical education and sports are designed, among other things, to help students master technical aspects of physical and intellectual activity i.e. develop the goal-setting ability; identify a key element of the mission; design and manage the process; develop and mobilise willpower to attain specific goals; and fairly rate own performance, progress and behaviour in the process. This means that students are trained to creatively apply the academic physical education and sporting tools and methods for professional personality development, physical perfection and healthy lifestyle cultivation goals.
Objective of the study was to rate benefits of the academic education and training process model offered by the author that gives a special priority to self-reliance building in Civil Engineering university students.
Methods and structure of the study. The educational process experiment under the study lasted two years. Subjects to the experiment were evenly split up into two primary boxing groups, namely Experimental Group (EG, n=20) and Reference Group (RG, n=20). Training processes in both of the groups were identical in the key aspects and scheduled twice a week, with the EG training process designed as required by the author’s academic education and training process model. The subjects were tested in the education and training process to obtain their general physical and special boxing progress rates. The training process was managed to keep the loads within the mid-intensity range with the heart rates (HR) varying within 120-160 beats per min. The subjects were examined and tested by doctors in the training process to obtain their HR, functional fitness and wellbeing test data.
Furthermore, the data generated by a questionnaire survey of 80 boxing coaches and instructors from Saint Petersburg universities and analysis of the standard competences of the Civil Engineering university students helped specify manifestations and aspects of necessary self-reliance. Correlation analysis of the study data with application of a maximal correlation tracking algorithm and correlation arrays made it possible to rank the self-reliance manifestations on the whole and the leading manifestations in particular with the most significant correlations (r≥0.7) with the other manifestations, as follows: purposefulness and self-discipline; analysis of own performance and progress in the education and training process; and fair self-rating of own behaviour.
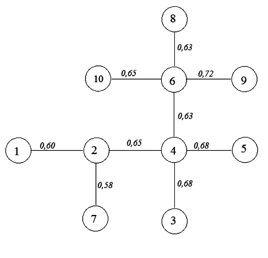
Given in Figure 1 hereunder are the correlations of the students’ self-reliance manifestations in the education and training process.

Figure 1. Correlations of self-reliance manifestations
Legend: 1 – group warm-up control; 2 – purposefulness and self-discipline; 3 – individual physical training process planning; 4 – analysis of own performance and progress in the education and training process; 5 – success of specific tactical goals; 6 – fair self-rating of own behaviour; 7 – warm-up prior to a fight; 8 – emotional and behavioural control; 9 – fair rating of own competitive performance; 10 – tolerance in relations with teammates
At the first stage of experiment, a top priority was given to the self-discipline development in the trainees that may be viewed as the primary self-reliance building phase [3], with the students encouraged to develop the ability to persistently, honestly and with high interest fulfil the training process tasks in due succession and with due contemplation to facilitate progress and achieve due mastery. In parallel with the physicality development and boxing techniques mastering process, the subjects were trained to assess the performance quality in the education and training process versus the standard set by the instructor. By the end of the first stage of the experiment we applied a questionnaire survey and expert valuations [1] to rate the primary self-reliance manifestations in every student.
At the second stage of the experiment, a top priority was given to the self-reliance building mission. The subjects were trained to both honestly perform the process tasks; work according to the plan set by an instructor; rate own performance and progress in the education and training process; and objectively rate own behaviour based on the gained experience and versus the standard requirements.
To facilitate the self-reliance building process being designed on a system and specific basis, we set specific interrelated tasks with the relevant tools, methods and practices at every stage of the personal self-reliance building process. For instance, in the purposefulness and self-discipline building, the relevant tools and methods were applied to attain the following specific goals: train students to focus their intellectual and physical efforts on specific tasks of the education and training process; and strictly comply with the trainer’s instructions in every mission of the education and training process etc. To attain the goals, the following tools were applied: (1) explanations of the mission to help acquire new knowledge and skills and improve the prior ones; (2) questionnaire survey to analyse how the process missions are understood, how important the education material is and what way to fulfil the mission is chosen; (3) operational time planning instructions with practical tasks; (4) assistance in the self-control process; and (5) group discussions of the practical experience gained in the process etc.
With time the specific tasks were made more difficult: from the primary goals of understanding the self-reliance manifestations and their importance for the education and training process; to conscientious and determined attitudes to the process tasks and instructions of the educator; and to formation of abilities to fulfil the tasks – first under direct supervision of the instructor and then on a self-reliant basis.
The education tools, methods and provisions were also combined and made more complex in the process. First we applied some standard and demonstrated the required actions, with the trainees performance being rated versus the standard and requirements followed by the repeated performance under more difficult conditions. Later on we required the subject actions being repeated many times, with the individual creative tasks being formulated as required by the individual progress in the self-reliance building process, associated with the relevant self-analysis and self-rating methods. The individualised creative approaches helped establish due provisions for success of the self-reliance building process based on the individual creative resource mobilising [2].
Similar priorities were set in the specific education process tasks, tools, methods and practices designed to develop other self-reliance aspects. Our analysis of the educational progress rates with the data mined by the expert valuations and students’ questionnaire surveys and interviews, plus personal years-long practical academic education experience gave us the means to rate the students’ self-reliance aspects.
Study results and discussion. We have classified the self-reliance building process into the following levels: low level that implies formal knowledge and skills (performed as demonstrated by the standard) when the student acts within the standard that he/she may copy; average level with fairly developed knowledge and skills when the student is able to meet the imagined standard, copy it and build up the knowledge and skills to reinforce the theoretical competency by conscientious actions; above-the-average level that implies the conscientious knowledge and skills being employed in a creative manner in the familiar situations when the student mobilises the available knowledge and skills and operates to attain a preset goal; and high level that means that the student is able to creatively apply the conscientious knowledge and high skills in unexpected situations when the knowledge and skills are efficiently applied for due orientation in every life situation and to control every practical activity.
The study data were used to specify provisions to improve efficiency of the self-reliance building tools and methods including: process staging provisions; process customising for the individual perceptive and reflexive abilities of every trainee; students’ thinking activation; conscientious fulfilment of the rules and regulations in the education and training process; specific transparent, accessible and increasingly difficult requirements to the educational process tasks and behaviour at sessions; and educational guidance of the students’ self-reliance building progress.
Analysis of the study data showed a significant progress of the EG boxers in the body conditioning, technical and tactical performance rates: see Table 1. Intellectual performance rates in the EG also showed significant progress: see Table 2. The EG progress was further confirmed by the following facts: 8 and 12 EG boxers qualified for Class II and Class III for the experimental period, respectively; versus the 3 and 8 RG boxers qualified for the same classes for the same time.
Table 1. Physical progress of the EG versus RG students for the experimental period
|
|
Progress rating tests |
Groups |
Pre-experimental test rates |
Post-experimental test rates |
р |
|
1 |
3000m race, min, s |
RG |
14,42±0,08 |
14,20±0,06 |
0,05 |
|
EG |
14,46±0,09 |
13,10±0,04 |
0,01 |
||
|
Standard |
|
14,0 |
|
||
|
2 |
Pull-ups on a horizontal bar, reps |
RG |
7,6±0,04 |
8,5±0,03 |
0,01 |
|
EG |
7,9±0,05 |
10,2±0,04 |
0,01 |
||
|
Standard |
|
9 |
|
||
|
3 |
100m sprint, s |
RG |
14,3±0,04 |
14,0±0,03 |
0,05 |
|
EG |
14,1±0,05 |
13,2±0,02 |
0,01 |
||
|
Standard |
|
15,1 |
|
||
|
4 |
Boxing, tactical and tactical mastery rates (TTMR), points |
RG |
3,8±0,01 |
4,2±0,04 |
0,01 |
|
EG |
3,7±0,04 |
4,7±0,01 |
0,01 |
||
Table 2. Intellectual and academic progress of the EG versus RG students for the experimental period
|
|
Rated abilities |
Group |
Pre-experimental test rates |
Post-experimental test rates |
Increment |
р |
|
1 |
Attention switchover and control |
EG RG |
4,8±0,04 5,0±0,03 |
7,5±0,08 5,7±0,04 |
2,7 0,7 |
0,05 - |
|
2 |
Fast thinking |
EG RG |
6,2±0,02 6,4±0,04 |
7,8±0,03 6,7±0,04 |
1,6 0,3 |
0,05 - |
|
3 |
Academic progress |
EG RG |
3,9±0,05 4,0±0,04 |
4,7±0,07 4,2±0,03 |
0,8 0,2 |
- - |
Conclusion
1. Sporting students’ progress in the self-reliance building domain shall be rated in the following aspects: purposefulness and self-discipline; ability to analyse own performance and progress in the education and training process; and fair rating of own behaviour.
2. For the self-reliance building process being systemic and specific, the educator shall set specific and increasingly difficult tasks with relevant education tools, methods and practices most effective at every personality development stage.
3. Most effective education tools, methods and practices geared to develop self-reliance in students may be listed as follows: encouraging students to analyse the education material by responding to the relevant questions; encouraging students to explain the material learnt; applying comparisons with the standard requirements; applying a “logical guess” practice; identifying the core and essence in every task; practicing and learning associated with self-analysis and self-rating of actions and behaviour; encouraging students to take increasingly difficult tasks to build up professionally important competences and skills.
References
- Ilyin E.P. Psikhologiya voli [Psychology of will]. St. Petersburg: Piter publ., 2000, pp. 236-239.
- Kadyrov R.M., Karavan A.V., Get’man V.D. Model samoupravleniya studentami fizicheskoy trenirovkoy [Student's self-guided physical training model]. Teoriya i praktika fiz. kultury, 2015, no. 9, pp. 3-4.
- Rusakova N.G. Individualno-tipologicheskie osobennosti stanovleniya organizovannosti u studentov kak usloviya uspeshnosti ikh obucheniya [Individual typological features of students’ self-discipline cultivation as condition for success of their education]. Ufa, 2012, 128 p.
Corresponding author: bakeshin@bk.ru
Abstract
Presently a top priority is being given to the issue of self-reliance as a key personality mental quality critical for fitness for and success in a professional service. Modern physical education and sporting tools are considered pivotal for the initiatives to build up self-reliance in students due to their high social importance, efficiency of the education and training process and ample opportunities for the young people’s communication. The article explores design basics of the education and training process model offered by the author intended to build up self-reliance in Civil Engineering university students. The study data and analysis of the general cultural and professional competences and a questionnaire survey of the educators and coaches made it possible to spell out manifestations of high self-reliance in the future civil engineering specialists. Furthermore, we identified the specific interrelated goals, tools, methods and practices of the education actions at every stage of the self-reliance building process, with due provisions to facilitate the latter in students; and classified the self-reliance building progress into a few levels. An educational process experiment demonstrated benefits of the self-reliance building model offered by the author.




Журнал "THEORY AND PRACTICE