Aerobic potential in adolescents with different physical development rates
ˑ:
Dr.Med., Professor A.L. Korepanov1
Dr.Hab., Professor O.N. Golovko1
PhD, Associate Professor S.E. Motornaya1
1Sevastopol State University, Sevastopo
Keywords: adolescents, aerobic potential, physical development, physical working capacity, oxygen consumption (O2C).
Background. The key provision of the sports science-based ontokinesiological approach [2, 9] is that the training load parameters should correspond to the current state of the trainees and natural course of development of their motor functions [5]. Expansion in the number of sporting young people determines the relevance of investigation into the patterns of development of energy supply of motor functions during ontogenesis. The level of functioning of the body’s oxygen supply system can be considered as the most important indicator reflecting the level of development of bodily adaptive reserves and largely determining the sports results. Neurohumoral restructuring of the regulatory mechanisms, heterochronous development of all physiological systems of the body, and high individual variation in the rates of ontogenesis result in significant differences in the aerobic working capacity rates within one age group. Adolescents have been found to have a decrease in the resources of the cardiovascular system, high level of energy consumption, higher oxygen debt under the influence of dosed physical loads, low level of maximum oxygen consumption, low aerobic potential [10]. Little attention has been given in the literature to the adaptive capabilities of adolescents with the high physical development rates - accelerants (A), average physical development rates - normodants (N), and low physical development rates - retardants (R). Several studies on this topic have made it possible to identify certain differences in the level of somatic health [7], the ways to ensure the stability of internal environment, physical working capacity in adolescents with different physical development rates [1, 4]. The analysis of the hemodynamic parameters showed that cardiac contractility was higher in adolescents with the average and low physical development rates [8]. In the available literature, there are no works devoted to the comparative analysis of the aerobic potential of accelerants, normodants and retardants. The comparative analysis of the aerobic capabilities of adolescent boys with different physical development rates can be used in sports physiology and sports medicine to optimize sports selection and prevent diseases.
Objective of the study was to conduct a comparative assessment of aerobic potential in adolescent boys with different physical development rates.
Methods and structure of the study. The study involved the 13-14 year-old adolescent boys (n=87). Based on the "body length" indicator, the subjects were divided into 3 groups: Group 1 - accelerants (n=26), Group 2 - normodants (n=40), Group 3 - retardants (n=21). The following parameters were measured: body weight and body length, vital capacity (VC), birth-death ratio (BDR) - the ratio of vital capacity to body weight, oxygen utilization (O2U), absolute (O2C) and relative (RO2C) oxygen consumption, absolute and relative physical development rates, absolute (MOC) and relative (RMOC) values of maximum oxygen consumption. The subjects’ physical development was assessed in the step test according to V.L. Karpman [6], oxygen consumption - by means of a gas analysis [11]. The maximal oxygen consumption (MOC) rate was calculated by the formula:
The oxygen cost of work (the amount of oxygen needed to perform 1 W of work) was determined as a quotient of the amount of O2 consumed per 1 minute of recovery and the power of the second step of load test according to V.L. Karpman. The data obtained were statistically processed using the STATISTICA for WINDOWS 6.0 software packages.
Results and discussion. It is shown that the aerobic energy supply and external respiration rates differed significantly between the accelerants, normodants and retardants. The results are presented in Table 1. VC was minimal in the retardants, average in the normodants, and maximum in the accelerants. The accelerants were found to have the highest level of physical development, the accelerants - the lowest one, the normodants - average. The retardants had a significantly higher level of overall physical fitness as opposed to the accelerants. The maximum MOC rates were registered in the accelerants, average - in the normodants, minimum - in the retardants. The latter were found to have the highest RMOC rates.
Table 1. External respiration and aerobic energy supply rates (Mm) in the examined groups
|
Parameter |
Group 1 (A) (n=26) |
Group 2 (N) (n=40) |
Group 3 (R) (n=21) |
All (n=87) |
|
Body length, cm |
178.3±4.2 [1] |
166.2±4.6 |
152.4±3.8 [1.2] |
166.2±4.8 |
|
Body mass, kg |
63.8±3.8 [1] |
54.1±3.7 |
42.1±4.3 [1.2] |
53.5 ±4.2 |
|
Vital capacity, ml |
3528±272 [1] |
2842±251 |
2159±249 [1.2] |
2838±246 |
|
Birth-death ratio, ml/kg |
58.1±3.2 [1] |
52.8±3.0 |
51.2± 3.1 [2] |
53.8±3.0 |
|
Absolute physical working capacity, W |
140.6±7.2 [1] |
125.2±7.1 |
96.7±7.9 [1.2] |
122.5±7.3 |
|
Relative physical working capacity, W |
2.28±0.08 |
2.37±0.07 |
2.47±0.06 [2] |
2.36±0.3 |
|
Absolute MOC, ml |
2702±174 |
2541±139 |
2245±143 [1.2] |
2509±136 |
|
Relative MOC, ml/kg |
42.2±2.3 [1] |
47.1±2.2 |
53.2±2.3 [1.2] |
46.7±2.2 |
|
O2U at rest, % |
7.0±0.3 |
7.46±0.4 |
6.89±0.4 |
7.29±0.4 |
|
O2U in response to dosed load, % |
6.85±0.7 |
7.03±0.7 |
6.77±0.8 |
6.96±0.5 |
|
Absolute O2C at rest, ml |
294±19 [1] |
238±17 |
203±14 [1.2] |
240±16 |
|
Absolute O2C in response to dosed load, ml |
1280±58 [1] |
1007±57 |
850±52 [1.2] |
1023±56 |
|
Relative O2C at rest, ml/kg |
4.7±0.3 |
4.5±0.4 |
5.0±0.4 |
4.6±0.4 |
|
Relative O2C in response to dosed load, ml, ml/kg |
20.4±0.9 |
19.1±0.7 |
21.8±0.8 [1] |
19.5±0.8 |
Note. [1] – р<0.05 when compared to the normodants; [2] – р<0.05 when compared to the accelerants.
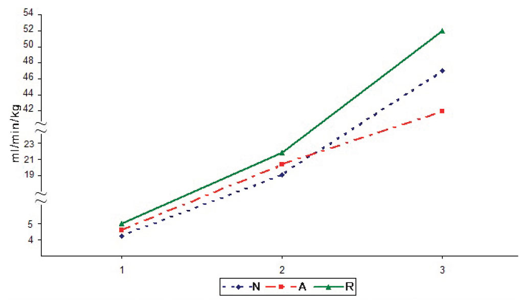
There were no significant changes in O2U in all groups both at rest and after the dosed physical load. The maximum O2C rates were recorded in the accelerants, average - in the normodants, minimum - in the retardants. RO2C at rest did not differ significantly between the groups. It significantly increased in all the study groups under the influence of dosed physical loads. The largest increase (4.36 times) was observed in the retardants, the average (4.34 times) - in the accelerants, and the minimum (4.2 times) - in the normodants. The analysis of RO2C at rest, in response to dosed physical loads (Karpman test) and physical loads at the level of MOC (see Figure) revealed some differences in the degree of increase of RO2C in the study groups: the accelerants demonstrated the lowest degree of increase in response to physical loads at the level of MOC (8.9 times lower than at rest); while in the normodants and retardants, RO2C increased 10.4 and 10.6 times, respectively. It was found that the muscular activity of the normodants was more "advantageous" in terms of energy consumption than in the 2 other groups: the oxygen cost of their work was statistically significantly (p<0.05) lower and amounted to 9.73±0.21 ml/W, whereas in the accelerants and retardants the oxygen cost amounted to 10.55±0.29 ml/W and 10.48±0.31 ml/W, respectively.
The study found some significant differences in the aerobic potential of adolescents - accelerants, normodants and retardants. The efficiency of the oxygen supply mechanisms to the working muscles characterizes the level of mobilization of the body adaptive resources of the adolescents and their somatic health level [3].
The group distribution of O2C at rest and under physical loads, which revealed the high levels of O2C in the accelerants, reflected their greater oxygen demand due to their larger muscle mass. The economical efficiency of work was the greatest in the normodants, as evidenced by the low oxygen cost of work in the adolescents with normal physical development rates as compared to their peers - accelerants and retardants. In the Karpman step test, which does not require the ultimate mobilization of oxygen supply resources, the accelerants and retardants demonstrated the high level of tension of the oxygen transport system - the degree of increase relative to O2C was significantly greater than in the normodants. Under physical loads at the level of MOC, the lowest rates of aerobic energy supply for muscular activity were registered in the accelerants, as confirmed by the minimum MOC rates and the smallest degree of increase in O2C as opposed to the normodants and retardants.

Relative O2C (ml/min/kg) at rest (1), in response to dosed physical loads (2), in response to physical loads at the level of MOC (3).
Note: solid green line - retardants, dashed line with squares - accelerants, dashed line with rhombi - normodants .
Conclusion. The peculiarities of oxygen supply for muscular activity of adolescent boys are determined by their physical development rates. The highest levels of aerobic potential were observed in the normodants and retardants, as evidenced by the higher level of relative physical working capacity and RMOC, higher degree of increase in RO2C in adolescent boys with the average and low physical development rates as opposed to the accelerants. The most economical type of energy supply for muscular activity (according to the oxygen cost of work) was typical of the normodants. The study findings can be used in the development of methods for sports selection, improvement of the training process, and prevention of somatic diseases among adolescent boys.
References
- Balykova L.A. Changes in cardiovascular and immune systems in young athletes: positive effects of L-carnitine. Pediatriya. Prilozhenie «Consilium Vedicum». 2014. no. 4. pp. 20-24.
- Bal'sevich V.K. Essays on human developmental kinesiology. M.: Sovetskiy sport publ., 2009. 220.
- Kuchma V.R. Hygiene of children and adolescents: guide to practical exercises. Study guide. M.: GEOTAR-Media publ., 2012. 560 p.
- Dolgikh V.V., Prokhorova Zh.V., Fomina N.A. Role of psychoemotional and social factors in development of essential arterial hypertension in adolescents. Pediatriya. 2011. 5. pp. 25-28.
- Zagrevskaya A.I., Lubysheva L.I. Ontokinesiological approach for sportization of physical education within national education system. Teoriya i praktika fiz. kultury, 2017, no. 6, pp. 6–8.
- Karpman V.L., Belotserkovskiy Z.B., Gudnov I.A. Testing in sports medicine. M.: Fizkultura i sport publ., 1988. 208 p.
- Korepanov A.L. Differential characteristic of morphofunctional parameters of adolescents with different levels of physical development. Vestnik fizioterapii i kurortologii. 2007. 2. pp. 33-40.
- Korepanov A.L. Functional indices of cardiac performance in adolescents with different rates of physical development. Teoriya i praktika fiz. kultury, 2016, no. 12, pp. 49-51.
- Lubysheva L.I., Salakhov I.M. Social vector of changes in pupils' attitude to physical education and sports. Fizicheskaya kultura: vospitanie, obrazovanie, trenirovka. 2017. no. 2. pp. 71-73.
- Mironov S.P., Polyaeva B.A., Makarova G.A. Sports medicine: national leadership. M.: GEOTAR-Media, 2013. 1184 p.
- Sheikh-Zade Yu.R., Tsvetkovskiy S.P. Express method to determine energy expenditure in humans. Human physiology. 1986. v. 12, no. (6). pp. 1039-1040.
Corresponding author: akorepanov2006@rambler.ru
Abstract
Objective of the study was to conduct a comparative assessment of aerobic potential in adolescent boys with different physical development rates.
Methods and structure of the study. The study involved the 13-14 year-old adolescent boys (n=87). Based on the "body length" indicator, the subjects were divided into 3 groups: Group 1 - accelerants (n=26), Group 2 - normodants (n=40), Group 3 - retardants (n=21). The following parameters were measured: body weight and body length, vital capacity (VC), birth-death ratio (BDR) - the ratio of VC to body weight, oxygen utilization (UO2), absolute (O2C) and relative (RO2C) oxygen consumption, absolute (PhD) and relative (RPhD) physical development rates, absolute (MOC) and relative (RMOC) values of maximum oxygen consumption. The subjects’ physical development was assessed in the step test according to V.L. Karpman, oxygen consumption - by means of a gas analysis.
Results of the study. The findings showed that the functional reserves of the oxygen supply system in adolescents depend on their physical development rates.
Conclusion. The greatest adaptation resources were detected in the normodants and retardants, which was confirmed by the higher RPhD and RMOC rates in the normodants and retardants as opposed to the accelerants. The study findings can be used in physiology of sports and sports medicine.



Журнал "THEORY AND PRACTICE