Comparison of training process and competitive activity characteristics in elite biathletes in different seasons
ˑ:
N.V. Adodin1
P.E. Myakinchenko1
1Federal Scientific Center for Physical Culture and Sport, Moscow
Keywords: training workload, endurance, strength, competitive performance, training system.
Background. Modern biathlon may be ranked among the sport disciplines where competitive performance is highly sensitive to a wide range of factors of influence [1-3] including many psychomotor skills and physical qualities, with a special role played by endurance, strength and speed-strength abilities, high kinesthetic sensitivity [3] and others. This is the reason why the modern elite training systems need to be highly integrated and customizable to be effective and fully employ the natural gifts of every athlete [4-6]. It seems paradoxical that biathlon training systems are still understudied in many aspects – e.g. the relevant studies for the last 30 years have been about 10 times less extensive than studies of the cross-country skiing training systems [2]. The same applies, among other things, to the studies of the seasonal training system specifics versus competitive performance in the elite women’s biathlon.
Objective of the study was to profile the training systems of the national women’s biathlon team (NT) versus its seasonal competitive performance.
Methods and structure of the study. We sampled for the purposes of the study the women’s NT members (n=3) in 2017-18 season (aged 28.1 + 2.8 years old, maximum oxygen consumption = 66.7 ± 0.7); and 2018-19 season (29 ± 2.1 years old, maximum oxygen consumption = 67 ± 3.5) based on the following sampling criteria: (a) at least 2-year NT record and a high rank on the IBU ranking list; (b) no serious injuries/ health issues for the period with a formal medical clearance for trainings; (c) active competitors in the summer/ winter top-ranking national and international events; and (d) detailed training process test data for both seasons. Every sampled athlete gave a written informed consent for the personal data being used for scientific purposes on condition of anonymity.
Individual training workload was recorded on a daily basis in the training process as provided by the practical test method of the Moscow-based NT Sports Training Center (STC). The training workload were profiled by 39 test rates by certified specialists highly experienced in the training workload test procedures and classifications. The total cyclic training workload and intensity-zone-specific training workload were supported by the heart rate variability data fixed by POLAR V800 (Finland-made) heart rate monitors.
Strength training process records fixed the numbers of attempts to obtain the strength endurance and hypertrophy and maximum strength test rates [6, 7]. The competitive performance rating method applied herein was described in our prior report [1]. Subject to a special analysis in the competitive period were the competitive rankings of the sample in the two sprint 8-10 stage events of the World Cup for the seasons. The test data were statistically processed and analyzed using the mean averages. We have not checked meanings of the differences in the data arrays to keep within the case study frame.
Results and discussion. Given on Figure 1 hereunder is the competitive performance of the sample in sprint events. Note that the sample made a 4-18% progress in the 2018-19 versus the prior season on every test scale save for the shooting time.

Figure 1. Competitive performance of the Russia women’s biathlon NT (-----) versus the reference performance model (——) of the 6 leading biathlon teams [1].
A – speed on distance; B – last circle speed versus the starting speed; C – shooting time; D – shooting pace; E – prone shooting success rate; F – standing shooting success rate
2017-18 season 2018-19 season
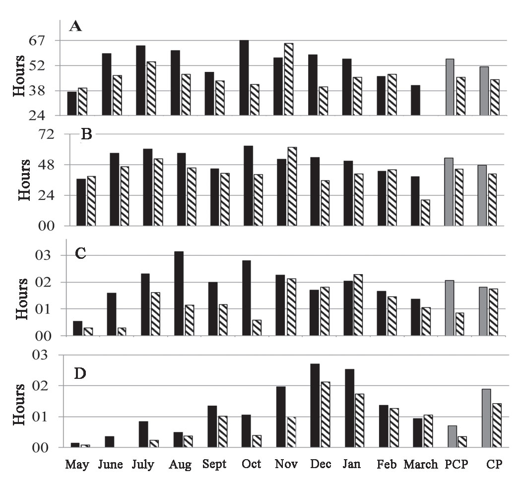
Given on Figures 2 and 3 are the monthly training workload profiles and averages for the precompetitive (PCP, May – October) and competitive (CP, November – May) periods.

Figure 2. 2017-18 (black) and 2018-19 (hatched) training workload and precompetitive and competitive averages (grey) of the sample
A: total cyclic workloads; B: Intensity zones 1-2; C Intensity zone 3; D Intensity zones 4-5
Hours Months PCP precompetitive period CP competitive period

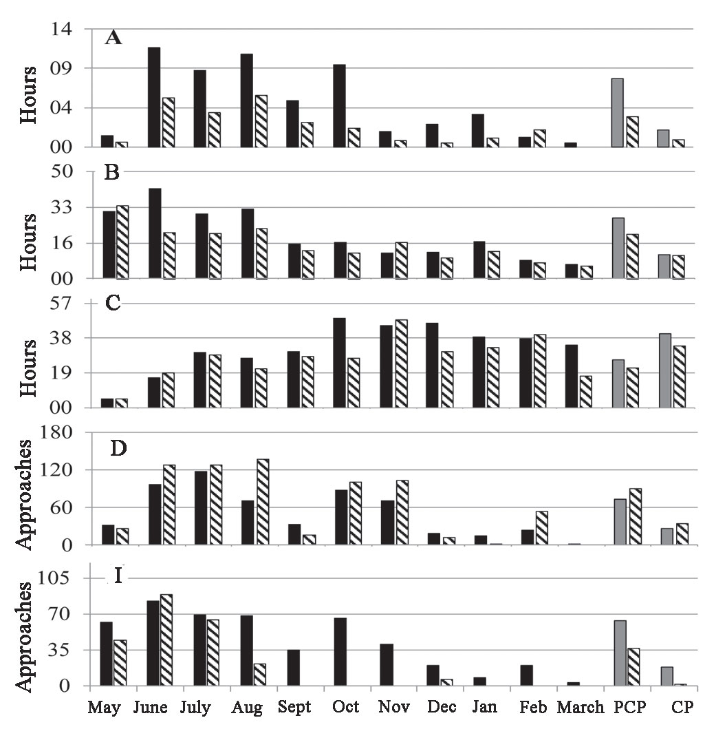
Figure 3. 2017-18 (black) and 2018-19 (hatched) training workload and precompetitive and competitive averages (grey) of the sample
A: aerobic strength trainings; B: unspecific trainings; C: special trainings; D: strength training; E: hyper- and maximal-strength trainings
Hours Months PCP precompetitive period CP competitive period
In the highly successful 2018-19 season (hereinafter referred to as “successful”), the cyclic workloads were relatively lower (by 90 hours) mainly for account of the lower intensity zones 1-2 and intensity zone 3-5 trainings in the precompetitive period; whilst in the competitive period the intensity zone 3-5 trainings were increased. Ratios of the unspecific (running, cycling, rowing, simulator) and cyclic trainings were virtually unchanged in both of the periods although their annual volumes were slightly decreased. It may be pertinent to mention the unspecific trainings reduction trend in the successful season, particularly in the strength training domain. The aerobic-strength [6] and intensive indoor strength trainings (with weights of 70-90% of the individual maximums) were seriously cut down in the successful season whilst the low-intensity multi-repetition circular, static-dynamic [7] and static endurance trainings were kept at the same levels. There were no notable inter-seasonal changes in shooting trainings.
Having compared the training workload profiles for the two consecutive years were found that a competitive progress in the elite women’s biathlon (sprint events) may be facilitated by reasonable reductions of the trainings workloads in the unspecific (running etc.) training domains and their prudent management. The relative reductions in the unspecific trainings could be of special benefits for the shooting accuracy – apparently due to the associating improvements in the psychophysical test rates.
Conclusion. The study data and analyses showed that a seasonal competitive progress in the elite women’s biathlon may be secured in most of the competitive events and progress factors. It was demonstrated that the sample made progress in the successful season due to the following changes in the training system: reductions in every training element, particularly in the strength training and high-intensity training ones, with no significant variations in the shooting training components.
References
- Fedoseev A.M., Adodin N.V., Myakinchenko P.E. et al. Relationship of tactical options for passing distances with firing accuracy, distance speed and the final result in the race for high-class biathletes. Vestnik sportivnoy nauki. 2018. no.6. pp. 18-22
- Laaksonen M.S., Jonsson M., Holmberg H.K. Olympic biathlon - recent achievements and prospects after Pyeongchang. -Front. Physiol. (2018).
- Laaksonen M.S., Finkenzeller T., Holmberg H.K., Suttleker G. (2018) Influence of physiobiomechanical parameters, technical aspects of shooting and psychophysiological factors on biathlon indicators, review. Sport Health Sci. 2018. 7 (4). pp. 394-404.
- Matveyev L.P. Fundamentals of sport training. Study guide. Moscow: Fizkultura i sport publ., 1977. 271 p.
- Verkhoshanskiy Yu.V. Programming and organization of training process. Moscow: Fizkultura i sport publ., 1985. 176 p.
- Verkhoshanskiy Yu.V. Fundamentals of special physical training for athletes. Moscow: Fizkultura i sport publ., 1988, 331 p.
- Myakinchenko E.B., Seluyanov V.N. Building local muscle endurance in cyclic sports. M.: TVT Divizion publ., 2009. 360 p.



Журнал "THEORY AND PRACTICE