Yakut national hapsagay wrestling: progress analysis
ˑ:
I.I. Druziyanov1
N.S. Filippov1
Dr. Hab., Professor I.A.Cherkashin1, 2
1Institute of Physical Culture and Sport of the M.K. Ammosov North-Eastern Federal University, Yakutsk
2Yakutsk State Agricultural Academy, Yakutsk
Keywords: motivation, national sport, Hapsagay wrestling, students.
Background. The Yakut national Hapsagay wrestling traditional for the people of the Sakha Republic is one of a few historical combat sports inherited from the past generations and still highly popular in the local communities [1, 3]. The key goal of a Hapsagay bout is to force the opponent contact the ground by a third point. It should be mentioned that the ‘third point rule’ is rather traditional for many Mongol and Tungus national wrestling sports. National sports may be interpreted as a foundation of the genuine physical education system traditional for the Sakha people [3, 4]. Since the late XIX to the early XX century, Hapsagai wrestling culture was revived in the Sakha Republic with the Hapsagai wrestling competitions timed mostly to the national Ysyakhs Festivals till the 1920ies. Popularity of the sport discipline received a great impetus when it was formally qualified with the national sports along with mas-wresting and national sledge-jumping disciplines in 1927 [2].
Before 1955, Hapsagay competitions were free of time and weight class limitations. The 1955 rules introduced 4 weight classes and a timeframe for bouts. As things now stand, Hapsagay competitions are accessible for 6 age groups from 10-11 to 40+ year-old. In 1968 the national Hapsagai wrestling events were listed in programs of the Manchaara Games, a large-scale traditional National Sports Festivals in Sakha Republic. The first European and Asian Hapsagay Championships were hosted by Shaulyay, Lithuania, in July 19–23, 2011 and Pune, India, in December 19–23, 2011, respectively. And the World Hapsagay Championship of Cadets was hosted by Sao Paulo, Brazil, in April 18–22, 2012. Despite the fact that the Yakut national wrestling discipline has been successful since then on the global arenas, the institutional and practical provisions for its progress in the modern socio-economic environments and the relevant sport specialist training issues still need to be studied and analyzed in more detail.
Objective of the study was to analyze the growth statistics of the Yakut national Hapsagay wrestling sport, one of the key ethnic sports of the Sakha Republic.
Methods and structure of the study. We applied for the purposes of the study analysis of the available theoretical and practical research literature on the subject, the relevant legal and regulatory provisions with the formal analytical and mathematical data processing toolkits.
Results and discussion. Having analyzed the Hapsagay sport population growth reports for the period of 2011 to 2017, we found growth of the sport groups from year to year. Thus the total sporting population of every age group was reported to increase by negligible 2% in 2012 to 2011, but in the next year (2013) the Hapsagay population was reported to skyrocket by 34% (plus 825 people) that is a great progress versus the 2011-12 level (p <0.05). In 2014 the growth pace was reported at 32% to 2013.
The growth rates had, however, slowed down later on, with the sporting population reported to fall by 6 people in 2015 versus 2014 followed by growths of 9% and 12% in 2016 and 2017, respectively. The growth was age-specific: thus adolescents and juniors were reported at 32% and adult men at 68% of the total sporting population of 2011. In 2012, 2013 and 2014 the share of adolescents and juniors was reported at 37.8%, 36.2% and 37.9%, respectively. In 2015 adolescents and juniors were reported at 1792 people or 41.4% of the total Hapsagay sport population in the Republic. In 2016 through 2017 the youth share was reported to grow to 45.9% and 48.7%, respectively.
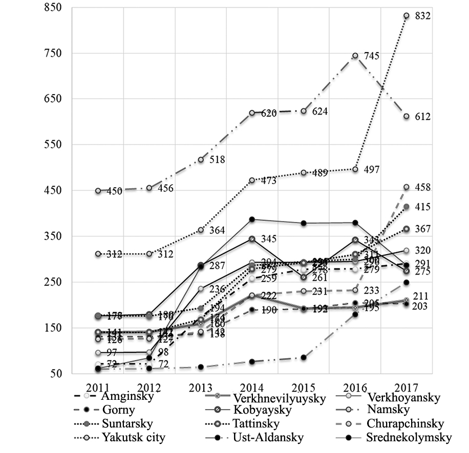
The local (provincial) Hapsagay sport population growth reports showed progress of the sport discipline across the Sakha Republic since 2011. Every city and Ulus (province) having a Hapsagay Sport Federation reported progress in the sporting population provisionally classifiable into the following two groups: (1) The Uluses and cities reporting growth rates of 200 plus people in 2017 (203 to 832 in fact), namely Amginsky, Verkhnevilyuysky, Verkhoyansky, Gorny, Kobyaysky, Namsky, Srednekolymsky, Suntarsky, Tattinsky, Churapchinsky and Ust-Aldansky Uluses and Yakutsk city; and (2) the uluses and cities reporting growth rates of 200 minus people in 2017, namely the Vilyui, Zhigansky, Megino-Kangalassky, Nyurbinsky, Oymyakonsky, Oleneksky, Tomponsky and Khangalassky Uluses: see Figure 1 hereunder.

Figure 1. Geographic distribution of the Hapsagay sport population across the Sakha Republic in 2011 through 2017: Uluses reporting 200+ population as of 2017, people
Our analyses of the Hapsagay sport population statistics of 2011 through 2017 on the ulus-specific basis showed a growing interest of the local population in trainings and competitions. It may be pertinent to mention that the Hapsagay sport groups are coached mostly by the freestyle wrestling sport instructors since each of the Republican elite freestyle wrestlers is equally skillful in Hapsagay as acknowledged by their sport qualifications ranging from high classes up to the Masters of Sports of the Sakha Republic.
The National Sports and Folk Games Department of the Institute of Physical Culture and Sport of M.K. Ammosov North-Eastern Federal University that was established on September 1, 2001 (and renamed to the Mas-Wrestling and National Sports Department in 2016) has trained 62 Hapsagai wrestling sport specialists including 33 (53.2% of the total) employed in the physical education and sport sector in the Republic of Sakha in the period of 2005 through 2018
The Martial Arts, Traditional Games and Competitions Department established in 2011 at CSI physical education and sport (and renamed to the Sport Training and National Sports Department in 2015) has reported 27 physical education and sport graduates 100% of whom are still serving in the physical education and sport sector.
It was found that for the 13 years under study 89 Hapsagay specialists trained by the two Republican physical education universities were employed as follows; 32.6% (n=29) by the law enforcement and emergency services of the MIA and MES and Federal National Guards service; 31.4% (n=28) contracted as physical education teachers by secondary schools; and 34.8% (n=31) were employed as trainers by the federal and republican CYSS and Sport Excellence Schools. This supply of qualified human resource for the Hapsagay wrestling in the Sakha Republic is, however, still short of the actual demand as the Hapsagay sporting population in the republic is now formally estimated at 5,316 people.
Conclusion. Our analysis of the human resource inflow in the national Hapsagay wrestling sport for the last seven years has demonstrated the growing popularity of this ethnic sport discipline across the Sakha Republic in every age group from adolescents to seniors who enthusiastically join every event and competition in the Sakha Republic.
References
- Krivoruchenko E.V., Gulyaeva A.N. Effect from using bioproduct made of northern raw material «Epsorin» on psychophysiological state of hapsagay wrestlers. Modern problems of physical education and sports. Proc. un. res.-pract. conf. of schoolchildren, students, master students, postgraduates (Churapcha, ChSIPCS, 27 Feb 2014) [El. resource]. Kirov: MTsNIP, 2014. pp. 291-296.
- Syrovatskiy Ya.S. Ethnopedagogical foundations of national combat sport "Hapsagay". PhD diss.. Yakutsk, 1998. 178 p.
- Cherkashin A.V., Krivoruchenko E.V., Skryabin S.P., Okhlopkov P.P. Methodological support of training of sports reserve of Republic of Sakha (Yakutia). Teoriya i praktika fiz. kultury, 2015, no. 10, pp. 51-53.
- Platonov D.N., Tambovskiy A.N., Krivoruchenko E.V., Platonova L.L. Problems of regional physical education and sport specialist training system in Sakha (Yakutia) republic. Theory and Practice of Physical Culture. 2017. no. 7. pp. 3 – 6.
Corresponding author: 706037@mail.ru
Abstract
The Yakut national Hapsagay wrestling traditional for the Sakha people is one of a few historical combat sports inherited from the past generations and still highly popular in the local communities. The key goal of a Hapsagay bout is to force the opponent contact the ground with by a third point. The study analyzes progress of Hapsagay wrestling in the Sakha Republic age groups for the period of 2011 through 2017. On the whole, the Hapsagay sporting population at CYSS, sport groups at the B. Manchaary Republican Center of National Sports sponsored by the republican and local Hapsagay federations across the Sakha Republic was estimated at 2,400 people (including 1632 adult and 768 teenage males) in 2011 versus 5,316 people (2727 adults and 2589 teenagers) in 2017 that means a growth of 221.5% for the period. The Hapsagay groups at 17 republican CYSS were estimated to total 655 people in 2017-18 school year including 89 people in the health sport groups and 331 and 235 people in the beginner and senior groups, respectively. It was found that for the 13 years under analysis 89 Hapsagay specialists trained by the two Republican physical education universities were employed as follows; 32.6% (n=29) by the law enforcement and emergency services of the MIA and MES and Federal National Guards service; 31.4% (n=28) contracted as physical education teachers by secondary schools; and 34.8% (n=31) were employed as trainers by the federal and republican CYSS and Sport Excellence Schools. This supply of qualified human resource for the Hapsagay wrestling in the Sakha Republic is, however, still short of the actual demand as the Hapsagay sporting population in the republic is now formally estimated at 5,316 people.



Журнал "THEORY AND PRACTICE