Development of aerobic-anaerobic working capacity of judokas by means of interval run
Фотографии:
ˑ:
S.A. Pelipenko, candidate
Moscow state academy of veterinary medicine and biotechnology, Moscow
Key words: overall physical training, aerobic-anaerobic component, endurance, cardiovascular system, running loading, throwing loading, intensity, vital capacity, airway conductance, maximal pulmonary ventilation, pulmonary power.
A situation has established in sport science when, on the one hand, athletes are known to have reserves to optimize their physical working capacity and on the other hand - the complete lack of knowledge on the ways of determination and use of additional reserves of human abilities. Martial arts are usually considered sports, where the principle role belongs to physical training of athletes. Numerous researches of physiological functions of judokas, pedagogical observations within the educational and training process and competitive practice confirm the fact that high level of functional efficiency is the key factor in efficient implementation of technical and tactical actions in the competitive environment [1-5].
The purpose of the study was to analyze the influence of interval run on development of the aerobic-anaerobic performance of judokas.
Results and discussion. The influence of load in the form of interval run was defined by analyzing the change of the percentage ratio of heart rate during the whole training process (Fig. 1).

Fig. 1. The dynamics of HR indices during interval run in aerobic-anaerobic mode
As shown on 1, the graph has two peaks at the level of HR 120 and 170 bpm. It proves that as a result of training exposures at the beginning of exercise the judokas’ body reached the minimal HR 120 bpm, quickly passed the pulse interval from 130 to 160 bpm and performed the main work at HR 170 bpm, exceeding it slightly up to HR 190 bpm. These parameters are also proved by the average HR.
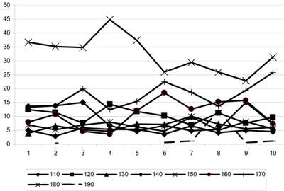
The analysis of Fig. 2 shows that during the training cycle the work performed at the level of HR, equal to 170 bpm, changed heterochronously. At the beginning of the cycle the load performed at HR 170 bpm, increased after one training session, after the 6th session it gradually increased and decreased at the last session, giving way to the load at the level of HR, equal to 180 bpm.
These changes indicate that when performing the proposed load the body’s adaptation mechanisms were worked in the body over 9 training sessions in the aerobic-anaerobic mode and by the 10th session it was ready to move to a higher level of load, where glycolytic mechanisms of energy supply get more important and the load is of anaerobic-aerobic character.
The changes in the volume of work performed and the increase of blood lactate concentration in judokas are shown on Fig. 3. The changes were not interrelated at all up to the 5th training session, then the volume of work performed and blood lactate developed in different directions, the volume of work increased and the blood lactate decreased. Taking into account that HR in this period rose too (Fig. 2), the increase of the threshold of aerobic-anaerobic performance of judokas can be stated.

Fig. 2. Percentage ratio of HR in a training cycles

Fig. 3. Changes in lactate concentration and volume of work performed
The work revealed the data characterizing changes in the respiratory system of athletes, which are adduced in the paper (Table).
Table. The dynamics of indices of judokas’ respiratory system after interval run, р<0,05
|
Indices |
X1 |
X2 |
% |
|
FVC, l |
5,13±0,21 |
5,02±0,32 |
-2,14 |
|
Expiratory muscle strength, c.u. |
37,2±1,4 |
36,1±1,28 |
-2,96 |
|
Inspiratory muscle strength, c.u. |
36,6±2,6 |
36,6±2,9 |
- |
|
Airway conductance, c.u. |
8,7±0,35 |
7,0±0,54 |
-19,5 |
|
Pulmonary power, % |
198±2,71 |
167,6±3,11 |
-15,4 |
|
MPV, l/min |
184±6,81 |
201±5,84 |
9,2 |
The introduction of interval run to the training provoked insufficient decline of the indices of forced expiratory spirogram and expiratory muscle strength by 2-3 % with the inspiratory muscle strength remained unchanged, pulmonary power and airway conductance declined by 20 and 15% respectively, а maximal pulmonary ventilation improved by 9,2%.
Conclusion. Development of the aerobic-anaerobic component of endurance by means of interval run in judo represents the loading of below 170 bpm of the mean heart rate with blood lactate rising up to 6,9 mmol/l, resulting in the decrease of the airway conductance and the pulmonary power and increase of the maximal pulmonary ventilation by 9,2%.
References
- Akopyan, A.O. Speed and strength training in martial arts / A.O. Akopyan, V.A. Pankov, S.A. Astakhov. – Moscow: Sovetsky sport, 2003. – 48 P. (In Russian)
- Eganov, A.V. Control of the training process of enhancement of judokas’ sports skills: abstract of doctoral thesis (Hab.)/ A.V. Eganov – CHSPU. – Chelyabinsk, 1999. – 54 P. (In Russian)
- Kirov, G.A. The methodology of estimation of wrestler’s special physical fitness in view of specifics of competitive combat: abstract of Ph.D. thesis / G.A. Kirov; SCOLIPC. – Moscow, 1986. – 21 P. (In Russian)
- Karazhanov, B.K. The influence of anaerobic loadings on the dynamics of working capacity indices of qualified judokas / B.K. Karazhanov, K.S. Sariev, V.V. Shiyan // Teoriya i praktika fizicheskoy kultury. – 1991. – № 4. – P. 19–20. (In Russian)
- Pashintsev, V.G. The biological model of functional training of judokas / V.G. Pashintsev. – Moscow: Sovetsky sport, 2007. – 208 P. (In Russian)
Author’s contacts: pashincev@mail.ru



Журнал "THEORY AND PRACTICE