Goal-setting in psychological structure of sports activity as a factor of increase of efficiency of judo training proces
Фотографии:
ˑ:
Ph.D., Associate Professor S.K. Bagadirova
Ph.D., Associate Professor F.S. Brantova
Ph.D., Associate Professor E.A. Potokova
Dr.Hab., Professor F.P. Khakunova
Adyghe State University, Maikop
Keywords: goal setting, definition of objectives, psychological skills in sports
Introduction
Psychological resource being viewed as an important element of success in sports is rated among the top priorities in the modern sport science. One of the key aspects of this resource is the advanced style of psychological control in sport with due goal-setting ability considered an important component of such style by some researchers (V.I. Morosanova, 1991; P. Martens, 1987).
Goal-setting issues have long been studied by many sport psychologists, and no wonder that so much attention is being given to them. Goal-setting ability is now recognized to be a pivotal condition both for the personality formation process and for the individual success in any professional area. Modern sport psychology traditionally considers the goal-setting element as the tactical or strategic mechanism to plan and manage the athlete’s activity [1]. The goal-setting process is believed to be largely based on a mix of subconscious and conscious needs that motivate athlete in every aspect of his performance. It is the ideal personal image created by the goal-setting mechanism that shapes up the feel of the resources that need to be mobilized to attain the goals. In the goal-setting process, the athlete normally selects one or few goals that give him/her an idea of how the performance must be designed in terms of both the process targets and the ways and means to achieve them. In addition, the goal-setting process helps better apprehend the performance scenario and control it so as to effectively implement every element of the goal-focused process structure. The clearer is the understanding of the process objectives and costs to attain them, the stronger is the athlete’s motivation towards success and the more determined he is. The athletes having the necessary skills to adequately set goals in their sport disciplines demonstrate notably higher confidence and it helps them improve their accomplishments.
The purpose of the study was to design and offer fundamentals for the theoretical model of the goal-setting process in the applied sport psychology mastered by the athletes.
Materials and methods.
Analysis of the existing goal-setting practices shows that they are dominated by the popular SMART goals-setting practice as the most recognized and widely applied one. SMART in this context means the acronym offered by P. Drucker back in 1954 [3] and first applied by George T. Doran in his publication in the “Management Review” magazine in 1981 [2]. P. Meyer in his book “Attitude is Everything” [4] classifies SMART goals as follows: specific goals meaning the concrete ones that clearly describe what must be done and why; measurable goals serving to precisely evaluate the accomplishments on the way to the task being fulfilled; agreed goals meaning the ones approved and accepted for performance by every party involved in the process; realistic goals meaning the achievable and reasonable ones; and the timebound goals meaning the ones limited by certain timeframe that specifies the deadline and interim terms of the task performance process. This practice, in our opinion, appears to be quite effective for the reason that it gives the means to set tactical and strategic goals, motivate the athlete etc. It should be noted, nevertheless, that it is not free of a few drawbacks. The authors, for instance, pay little attention to the goal-setting practices applicable to long-term athletic training process. Moreover, their practice considers goals in no interaction with other components of applied sport psychology that need to be mastered by an athlete striving to succeed in sport. The SMART goal-setting methodology is good as long as it is applied to set goals within the certain timeframe of the sport process. However, any sport activity requires the skill training and perfection process being managed on an uninterrupted basis. In opinion of experienced coaches, motor activity of an athlete in the long-term training process develops so as to increase the range and versatility of the applied and mastered motor skills and then to excel the skill performance techniques.
Results and discussion. Athletic training process content is designed based both on the background data of the skill performance models and on the sport-specific motor actions and skills. It is the variety of objects, phenomena and performance methods integrated in the training program that may be referred to as the elements of the athletic training process. The training program designer shall, being governed by specific objectives of the training process, substantiate the need in one or another element being integrated into the program. It is important that every element of the training process is well visualized and apprehended on the whole and in its interaction with other program elements in particular. As soon as the set of the program-building elements is determined, the designer must diagnose and spell out the goals specific for each of the elements, and set them forth in such a way as to provide the means to assess the skill mastery at every phase of the athlete’s training and skill excelling process.
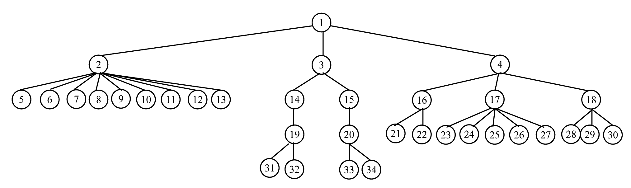
When the training program content is being shaped up at the theoretical phase of the program design, we would recommend special tables and tree-structure classification charts being used in the design process.
On the whole, the logical structure we offer is based on a tree-structure classification chart composed of nodes (rounds) and lines interconnecting the nodes. The nodes refer to the training process elements, while the lines show how these elements interact in the process. The training process elements shown in the root (on top) of the tree-shape chart are referred to as the base ones. Lines show how they are connected with the derivative elements positioned on the few levels of the logically bound structure. This means that the training process will be designed in such a way that the base element generates a few derivative elements specific of (and spelling out) the goal-specific features of the base element of the training system. The tree-structure chart given hereunder presents the judo motor action evolution chart as provided by G.P. Parkhomovich [3]. Let us present the goal-setting process on the chart (Figure 1 hereunder).

Figure 1 illustrating the following Table
Training process content and goals may be presented in their interaction using a special matrix (Table 1 hereunder). The matrix specifies the numbered elements of the training process, the numbers being dictated by the logical structure of the learned subject. Column two gives full name of the process element indicative of its content. Next column of the Table rates the relevant initial athlete’s skill in and knowledge of the specific element. Base level (αи) may equal 0 or any other value within the range of Levels I-IV. The next column of the Table gives the final goal of every element mastering process with consideration for the requirements to the skills and knowledge of the athlete. In addition, the table contains basic motor skills that must be mastered by every judoka. Given further in Table 1 are the target starting and final fitness levels of the athlete at every phase of the long-term training process.
|
|
Training process element |
Skill mastering level (α) |
|||||
|---|---|---|---|---|---|---|---|
|
Initial training phase |
Advanced training phase |
Sport mastery excellence phase |
|||||
|
Starting (αи) |
Final (αк) |
Starting (αи) |
Final (αк) |
Starting (αи) |
Final (αк) |
||
|
1 |
Motor skill development |
0 |
II |
II |
III |
III |
IV |
|
2 |
Supporting actions |
0 |
II |
II |
III |
III |
IV |
|
3 |
Interactions |
0 |
II |
II |
III |
III |
IV |
|
4 |
Conditioning actions |
0 |
II |
II |
III |
III |
IV |
|
5 |
First aid actions |
0 |
II |
II |
III |
III |
IV |
|
6 |
Ground wrestling skills |
0 |
II |
II |
III |
III |
IV |
|
7 |
Tactical skills |
0 |
II |
II |
III |
III |
IV |
|
8 |
Situation-driven actions |
0 |
II |
II |
III |
III |
IV |
|
9 |
Techniques combining skills |
0 |
II |
II |
III |
III |
IV |
|
10 |
Off-balancing skills |
0 |
II |
II |
III |
III |
IV |
|
11 |
Holds |
0 |
II |
II |
III |
III |
IV |
|
12 |
Movements |
0 |
II |
II |
III |
III |
IV |
|
13 |
Balancing skills |
0 |
II |
II |
III |
III |
IV |
|
14 |
Ground techniques |
0 |
II |
II |
III |
III |
IV |
|
15 |
Standing techniques |
0 |
II |
II |
III |
III |
IV |
|
16 |
Base actions |
0 |
II |
II |
III |
III |
IV |
|
17 |
Associated actions |
0 |
II |
II |
III |
III |
IV |
|
18 |
Preparatory actions |
0 |
II |
II |
III |
III |
IV |
|
19 |
Ground combinations |
0 |
II |
II |
III |
III |
IV |
|
20 |
Standing combinations |
0 |
II |
II |
III |
III |
IV |
|
21 |
Control actions on ground |
0 |
II |
II |
III |
III |
IV |
|
22 |
Ankle trips |
0 |
II |
II |
III |
III |
IV |
|
23 |
Off-balancing actions |
0 |
II |
II |
III |
III |
IV |
|
24 |
Respiratory skills |
0 |
II |
II |
III |
III |
IV |
|
25 |
Holds |
0 |
II |
II |
III |
III |
IV |
|
26 |
Moves and turns |
0 |
II |
II |
III |
III |
IV |
|
27 |
Stances, positions, interpositions |
0 |
II |
II |
III |
III |
IV |
|
28 |
Stands |
0 |
II |
II |
III |
III |
IV |
|
29 |
Special |
0 |
II |
II |
III |
III |
IV |
|
30 |
General |
0 |
II |
II |
III |
III |
IV |
|
31 |
Non-standard techniques and their versions |
0 |
II |
II |
III |
III |
IV |
|
32 |
Standard techniques and their versions |
0 |
II |
II |
III |
III |
IV |
The judo motor skills mastering process may be visualized as a four-level structure, as follows:
Level I (αI) refers to apprehension of the training process elements (basic knowledge and introductory level). In this stage, the athlete will be trained within the framework of certain algorithmic description coming from outside. V.P. Bespal’ko calls it the “schooling” level of the training process. The athlete, for example, is to do some task copying the sample performance or following the instruction understandable for him/ her at this training phase.
Level II (αII) refers to reproductive actions (basic knowledge and copying-based performance). at this phase, the athlete will perform the action by recalling and copying the sample action on his/her own, applying the Level I knowledge about the basics of the subject action. The athlete, for example, is to apply in a practical bout the standard solution of the task following the well-known performance algorithm.
Level III (αIII) refers to productive actions. At this level the athlete will vary the well-mastered standard skills thereby forming new individualized skill application frame facilitating his/ her individual non-standard skill performance style being shaped. Actions at this level will be performed as required by the algorithms coming up in the practice. The athlete, for example, will strive to achieve his/her goals in the bout using the well-mastered holds and techniques in his/her individual manner, i.e. adjusting them to the bout situations, with the success of the actions being predictable in general outlines.
Level IV (αIV) also refers to the productive actions. At this level the athlete will perform the actions based on the objectively new guiding basics. This means that the athlete is allowed to act in a “free of rules” format, although within the well-known area where he/she will form “new rules” using his/her own creativity. This level is accessible only for elite judokas since it requires not only excellent skills in various techniques, throws, leg trips etc. but also great creativity in using individual skills, knowledge and experience and creating non-standard combination and throws.
Therefore, the goal diagnostics process will be designed to determine the target level of knowledge and skill mastering. To put it in other words, the skill mastering level (α) is indicative of the mastery stage the athlete strives to achieve. Every phase of the training process sets forth a set of requirements to the relevant level of motor skills. At the initial phase of the training process, for instance, when judokas start learning the basics of motor skills, Level II (αII) is set forth as a target skill mastering level. Main goal of the athlete at this phase is to be able to perform the known motor skills in bouts on his/her own, by replaying in his mind and performing the standard action algorithms.
Conclusion. The theoretic model of diagnostics-based goal setting in the judoka training process, as outlined herein, gives the means to determine and list, within the frame of the training process objectives specific for the process phase, the process elements and specify the process goals; i.e. spell out the goals in such a way as to provide the means to assess the skill mastery level at every phase of the training process. Further studies of the goal-setting aspect of applied sport psychology will be designed to test the theoretic model we offer herein.
References
- Bagadirova, S.K. Psikhologicheskaya struktura sportivnoy deyatel'nosti: analiz i novy podkhod k ee postroeniyu (Psychological structure of sports activity: analysis and a new approach to its design) / S.K. Bagadirova // Vestnik Adygeyskogo gosudarstvennogo universiteta. – 2014. – Iss. 3 (143). – P. 130-136.
- Doran, G.T. There's a S.M.A.R.T. way to write management's goals and objectives / G.T. Doran // Management Review. – 1981. – Vol. 70, Issue 11 (AMA FORUM). – P. 35-36.
- Drucker, P.F. The Practice of Management / P.F. Drucker. = Praktika menedzhmenta. – M.: Vil'jams, 2007. – P. 400.
- Meyer, P.J. What would you do if you knew you couldn’t fail? Creating S.M.A.R.T. Goals. Attitude Is Everything: If You Want to Succeed Above and Beyond. Meyer Resource Group, Incorporated, 2003.
Corresponding author: susanna22@mail.ru



Журнал "THEORY AND PRACTICE